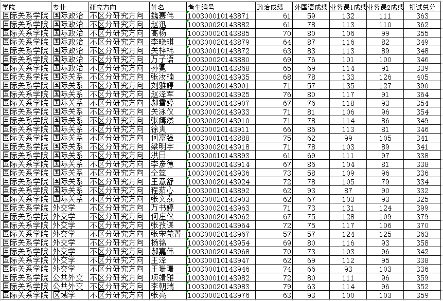
pp电子模拟器官网2020年硕士研究生入学考试复试名单

作者: 时间:2020-05-10 点击数:



Copyright @ BFSU. pp电子·模拟器(试玩游戏)官方网站版权所有. 地址:北京市海淀区西三环北路2号/19号    邮编:100089  Supported by BFSU ITC